Numerical simulation of groundwater pollution problems based on convection diffusion equation

Image credit: Unsplash

Abstract

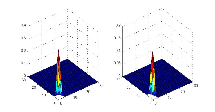
The analytical solution of the convection diffusion equation is considered by two-dimensional Fourier transform and the inverse Fourier transform. To get the numerical solution, the Crank-Nicolson finite difference method is constructed, which is second-order accurate in time and space. Numerical simulation shows excellent agreement with the analytical solution. The dynamic visualization of the simulating results is realized on ArcGIS platform. This work provides a quick and intuitive decision-making basis for water resources protection, especially in dealing with water pollution emergencies.

Publication
In American Journal of Computational Mathematics

Click the Cite button above to demo the feature to enable visitors to import publication metadata into their reference management software.

Create your slides in Markdown - click the Slides button to check out the example.

Supplementary notes can be added here, including code, math, and images.

Lingyu Li
Lingyu Li
Postdoctoral Fellow

Focus on bioinformatics, including but not limited to spatial transcriptomics analysis, sparse statistical learning and biomarker identification.